2023년 전기기사 1회차 72번 - 기출문제 및 해설
문제 1
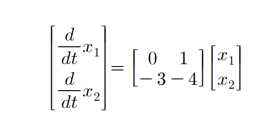
다음의 상태방정식으로 표현되는 시스템의 상태천이 행렬은?
1.
2.
3.
4.
💡 로그인하면 학습 진행률이 자동으로 저장되고, 북마크와 오답노트를 사용할 수 있습니다.
이전
다음