2022년 전기기사 2회차 74번 - 기출문제 및 해설
문제 1
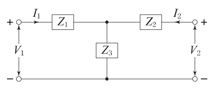
그림과 같은 T형 4단자 회로의 임피던스 파라미터
Z
22
Z_{22}
Z
22
는?
1.
Z
3
Z_3
Z
3
2.
Z
1
+
Z
2
Z_1 + Z_2
Z
1
+
Z
2
3.
Z
1
+
Z
3
Z_1 + Z_3
Z
1
+
Z
3
4.
Z
2
+
Z
3
Z_2 + Z_3
Z
2
+
Z
3
💡 로그인하면 학습 진행률이 자동으로 저장되고, 북마크와 오답노트를 사용할 수 있습니다.
이전
다음