2011년 전기기사 1회차 77번 - 기출문제 및 해설
문제 1
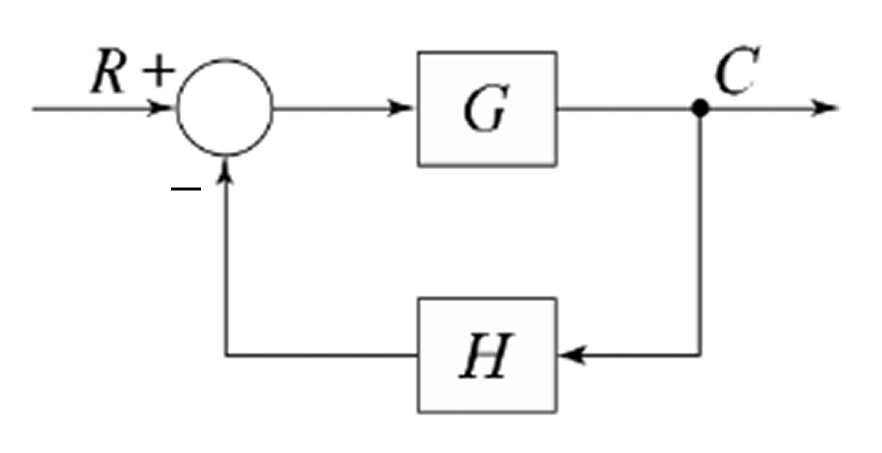
그림과 같은 폐루프 전달함수
T
=
C
R
T=
\frac{C}
{R}
T
=
R
C
에서
H
H
H
에 대한 감도
S
H
T
S_H^T
S
H
T
는?
1.
G
H
1
+
G
H
\frac{GH}
{1+GH}
1
+
G
H
G
H
2.
−
G
H
1
+
G
H
\frac{-GH}
{1+GH}
1
+
G
H
−
G
H
3.
G
H
(
1
−
G
H
)
2
\frac{GH}
{(1-GH)^2}
(
1
−
G
H
)
2
G
H
4.
−
G
H
(
1
+
G
H
)
2
\frac{- GH}
{(1+GH)^2}
(
1
+
G
H
)
2
−
G
H
💡 로그인하면 학습 진행률이 자동으로 저장되고, 북마크와 오답노트를 사용할 수 있습니다.
이전
다음