2014년 전기기사 2회차 68번 - 기출문제 및 해설
문제 1
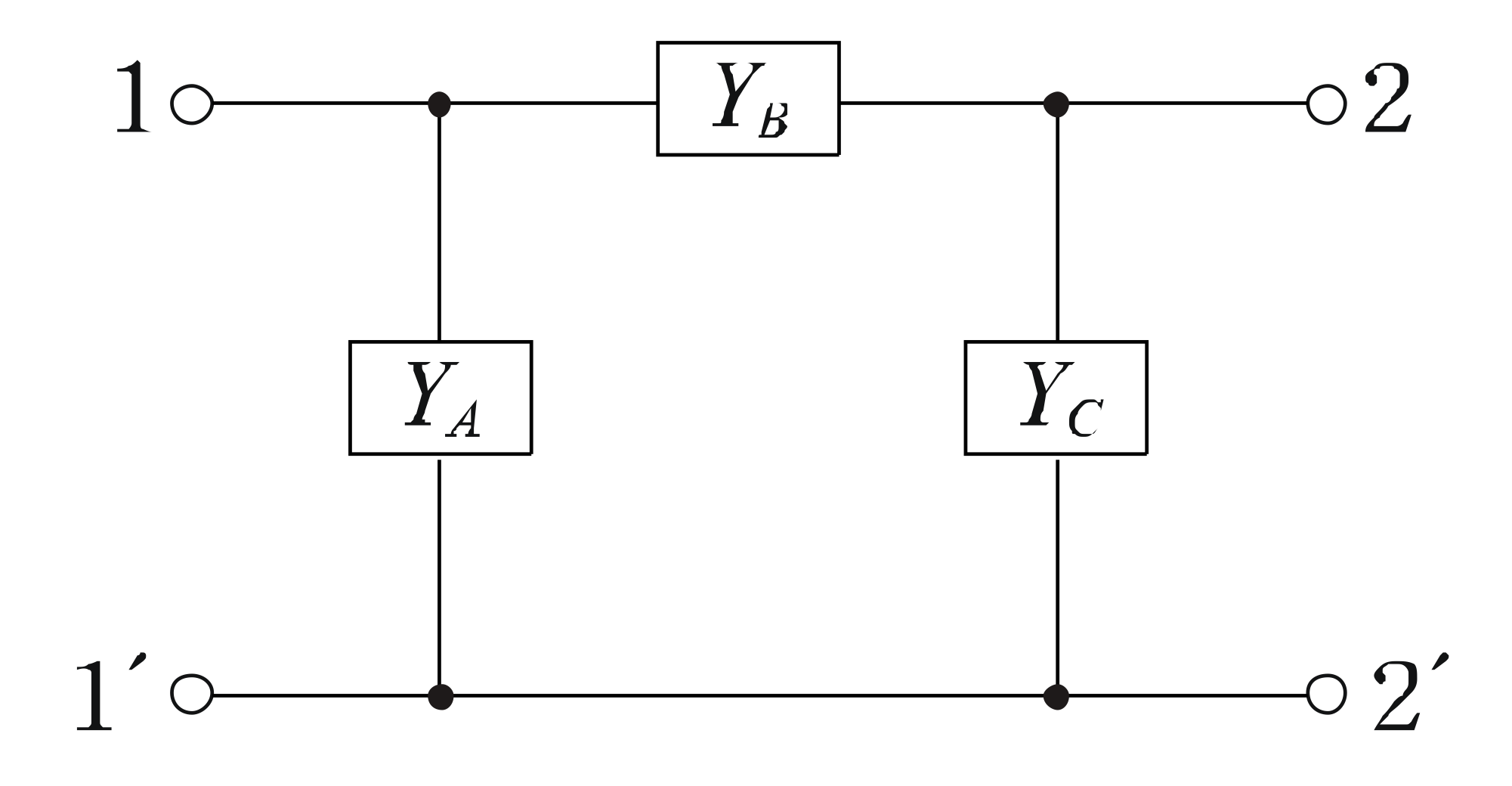
그림과 같은
π
형
\pi형
π
형
4단자 회로의 어드미턴스 파라미터 중
Y
22
Y_{22}
Y
22
는?
1.
Y
22
=
Y
A
+
Y
C
Y_{22}= Y_A+Y_C
Y
22
=
Y
A
+
Y
C
2.
Y
22
=
Y
B
Y_{22}= Y_B
Y
22
=
Y
B
3.
Y
22
=
Y
A
Y_{22}= Y_A
Y
22
=
Y
A
4.
Y
22
=
Y
B
+
Y
C
Y_{22}= Y_B+Y_C
Y
22
=
Y
B
+
Y
C
💡 로그인하면 학습 진행률이 자동으로 저장되고, 북마크와 오답노트를 사용할 수 있습니다.
이전
다음