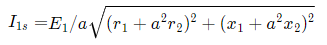
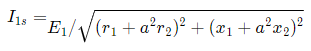
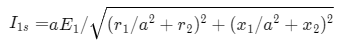
문제 1

단상 변압기의 1차 전압 E_1 , 1차 저항 r_1 , 2차 저항 r_2 , 1차 누설리액턴스 x_1 , 2차 누설리액턴스 x_2 , 권수비 a라 하면 2차 권선을 단락했을 때의 1차 단락 전류는?