2012년 전기기사 3회차 79번 - 기출문제 및 해설

문제 1

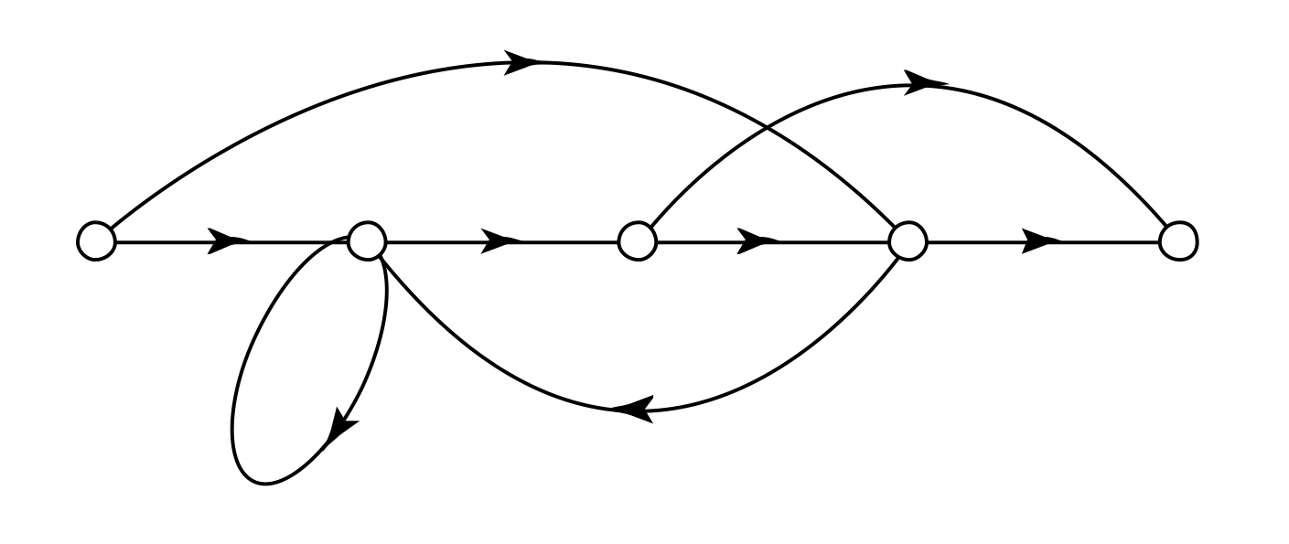
다음의 신호선도를 메이슨의 공식을 이용하여 전달함수를 구하고자 한다. 이 신호선도에서 루프(loop)는 몇 개인가?