2017년 전기기사 2회차 62번 - 기출문제 및 해설
문제 1
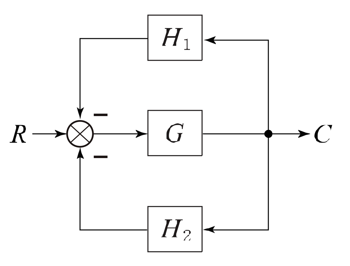
다음 블록선도의 전체 전달함수가 1이 되기 위한 조건은?
1.
G
=
1
1
−
H
1
−
H
2
G =
\frac{1}
{1-H_1-H_2}
G
=
1
−
H
1
−
H
2
1
2.
G
=
1
1
+
H
1
+
H
2
G =
\frac{1}
{1+H_1+H_2}
G
=
1
+
H
1
+
H
2
1
3.
G
=
−
1
1
−
H
1
−
H
2
G =
\frac{-1}
{1-H_1-H_2}
G
=
1
−
H
1
−
H
2
−
1
4.
G
=
−
1
1
+
H
1
+
H
2
G =
\frac{-1}
{1+H_1+H_2}
G
=
1
+
H
1
+
H
2
−
1
💡 로그인하면 학습 진행률이 자동으로 저장되고, 북마크와 오답노트를 사용할 수 있습니다.
댓글
0/500
등록
이전
다음