2017년 전기기사 3회차 17번 - 기출문제 및 해설
문제 1
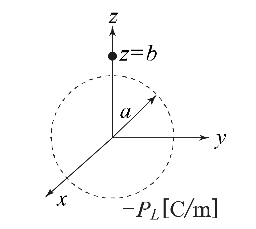
중심은 원점에 있고 반지름
a
[
m
]
a[m]
a
[
m
]
인 원형 선도체가
z
=
0
z=0
z
=
0
인 평면에 있다. 도체에 선전하밀도
ρ
L
[
C
/
m
]
ρ_L[C/m]
ρ
L
[
C
/
m
]
분포되어 있을 때
z
=
b
[
m
]
z=b[m]
z
=
b
[
m
]
인 점에서 전계
E
[
V
/
m
]
E[V/m]
E
[
V
/
m
]
는? (단,
a
r
,
a
z
a_r, a_z
a
r
,
a
z
는 원통 좌표계에서 r 및 z 방향의 단위벡터이다.)
1.
a
b
ρ
L
2
π
ε
0
(
a
2
+
b
2
)
a
r
\frac{ab \rho _L}
{2 \pi \varepsilon_0 (a^2 +b^2 )}a_r
2
π
ε
0
(
a
2
+
b
2
)
ab
ρ
L
a
r
2.
a
b
ρ
L
4
π
ε
0
(
a
2
+
b
2
)
a
z
\frac{ab \rho _L}
{4 \pi \varepsilon_0 (a^2 +b^2 )}a_z
4
π
ε
0
(
a
2
+
b
2
)
ab
ρ
L
a
z
3.
a
b
ρ
L
2
ε
0
(
a
2
+
b
2
)
3
2
a
z
\frac{ab \rho _L}
{2 \varepsilon_0 (a^2 +b^2 )^{
\frac{3}
{2}}}a_z
2
ε
0
(
a
2
+
b
2
)
2
3
ab
ρ
L
a
z
4.
a
b
ρ
L
4
ε
0
(
a
2
+
b
2
)
3
2
a
z
\frac{ab \rho _L}
{4 \varepsilon_0 (a^2 +b^2 )^{
\frac{3}
{2}}}a_z
4
ε
0
(
a
2
+
b
2
)
2
3
ab
ρ
L
a
z
💡 로그인하면 학습 진행률이 자동으로 저장되고, 북마크와 오답노트를 사용할 수 있습니다.
댓글
0/500
등록
이전
다음