2020년 전기기사 3회차 72번 - 기출문제 및 해설
문제 1
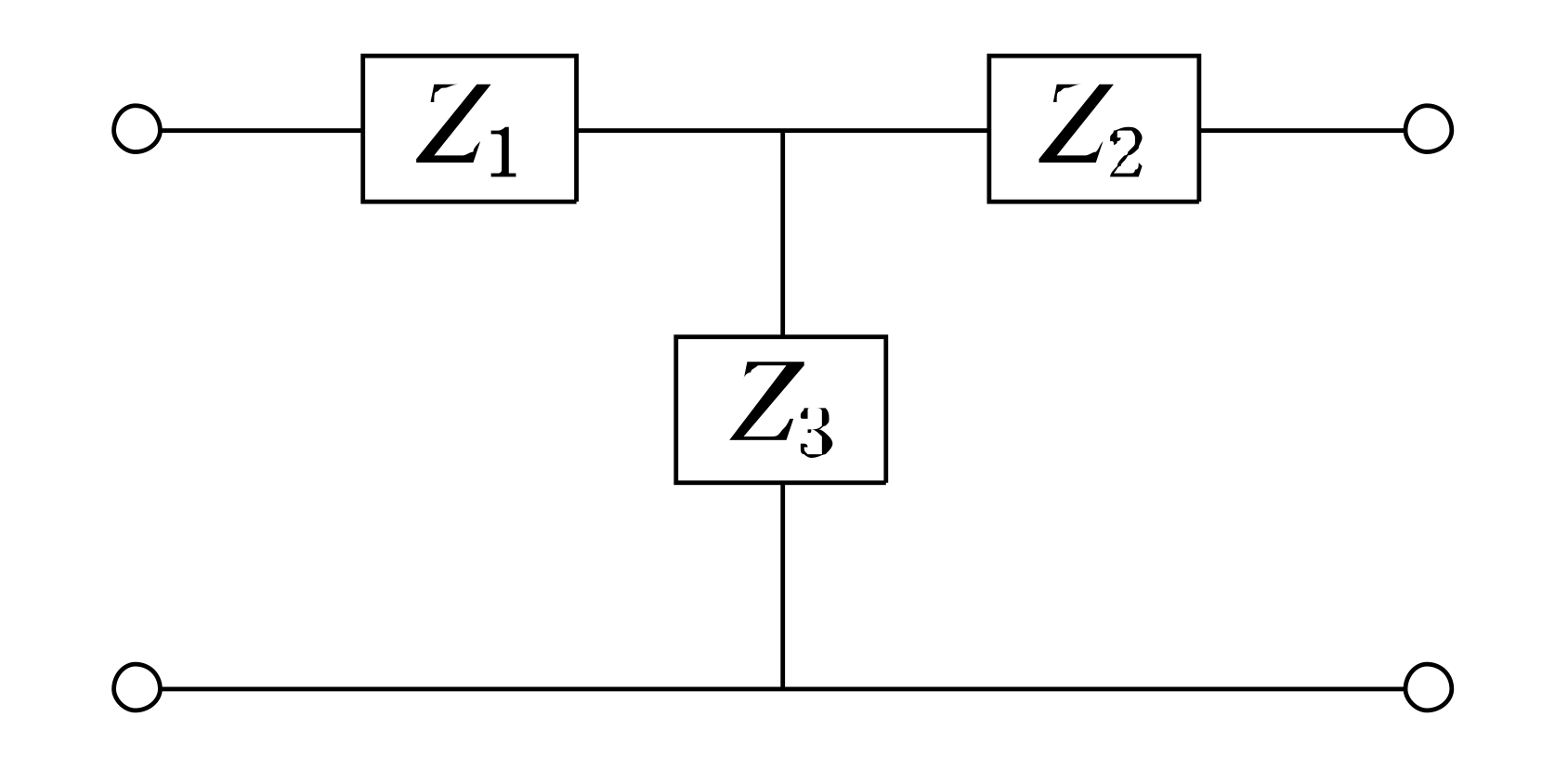
그림과 같은
T
T
T
형 4단자 회로망에서 4단자 정수
A
A
A
와
C
C
C
는? (단,
Z
1
=
1
Y
1
,
Z
2
=
1
Y
2
,
Z
3
=
1
Y
3
)
Z_1=
\frac{1}
{Y_1}, Z_2=
\frac{1}
{Y_2}, Z_3=
\frac{1}
{Y_3})
Z
1
=
Y
1
1
,
Z
2
=
Y
2
1
,
Z
3
=
Y
3
1
)
1.
A
=
1
+
Y
3
Y
1
,
C
=
Y
2
A=1+
\frac{Y_3}
{Y_1}, C = Y_2
A
=
1
+
Y
1
Y
3
,
C
=
Y
2
2.
A
=
1
+
Y
3
Y
1
,
C
=
1
Y
3
A=1+
\frac{Y_3}
{Y_1}, C =
\frac{1}
{Y_3}
A
=
1
+
Y
1
Y
3
,
C
=
Y
3
1
3.
A
=
1
+
Y
3
Y
1
,
C
=
Y
3
A=1+
\frac{Y_3}
{Y_1}, C = {Y_3}
A
=
1
+
Y
1
Y
3
,
C
=
Y
3
4.
A
=
1
+
Y
3
Y
1
,
C
=
(
1
+
Y
1
Y
3
)
1
Y
3
+
1
Y
2
A=1+
\frac{Y_3}
{Y_1}, C = (1+
\frac{Y_1}
{Y_3})
\frac{1}
{Y_3}+
\frac{1}
{Y_2}
A
=
1
+
Y
1
Y
3
,
C
=
(
1
+
Y
3
Y
1
)
Y
3
1
+
Y
2
1
💡 로그인하면 학습 진행률이 자동으로 저장되고, 북마크와 오답노트를 사용할 수 있습니다.
댓글
0/500
등록
이전
다음