2025년 전기기사 1회차 79번 - 기출문제 및 해설
문제 1
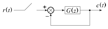
다음 이산치 제어계의 블록선도의 전달함수는?
1.
G
(
z
)
G(z)
G
(
z
)
2.
G
(
z
)
1
+
G
(
z
)
\frac{G(z)}
{1+G(z)}
1
+
G
(
z
)
G
(
z
)
3.
G
(
z
)
+
1
G(z)+1
G
(
z
)
+
1
4.
G
(
z
)
1
−
G
(
z
)
\frac{G(z)}
{1-G(z)}
1
−
G
(
z
)
G
(
z
)
💡 로그인하면 학습 진행률이 자동으로 저장되고, 북마크와 오답노트를 사용할 수 있습니다.
댓글
0/500
등록
이전
다음