2025년 전기기사 1회차 78번 - 기출문제 및 해설
문제 1
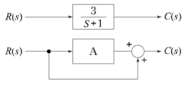
두개의 그림이 등가인 경우 A는?
1.
s
+
2
s
+
1
\frac{s+2}
{s+1}
s
+
1
s
+
2
2.
s
−
2
s
+
1
\frac{s-2}
{s+1}
s
+
1
s
−
2
3.
−
s
+
2
s
+
1
\frac{-s+2}
{s+1}
s
+
1
−
s
+
2
4.
−
s
−
2
s
+
1
\frac{-s-2}
{s+1}
s
+
1
−
s
−
2
💡 로그인하면 학습 진행률이 자동으로 저장되고, 북마크와 오답노트를 사용할 수 있습니다.
댓글
0/500
등록
이전
다음