2016년 전기산업기사 3회차 80번 - 기출문제 및 해설
문제 1
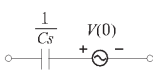
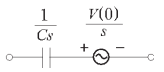
그림과 같은 커패시터
C
C
C
의 초기 전압이
V
(
0
)
V(0)
V
(
0
)
일 때 라플라스 변환에 의하여
s
s
s
함수로 표시된 등가회로로 옳은 것은?
1.
2.
3.
4.
💡 로그인하면 학습 진행률이 자동으로 저장되고, 북마크와 오답노트를 사용할 수 있습니다.
이전
다음