2015년 전기산업기사 2회차 73번 - 기출문제 및 해설

문제 1

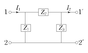
다음과 같은 π\pi 회로의 44단자 정수 중 DD의 값은?