2016년 전기산업기사 1회차 77번 - 기출문제 및 해설

문제 1

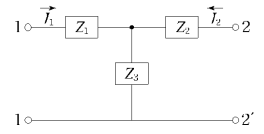
T\rm T44단자 회로의 임피던스 파라미터 중 Z22Z_{22}는?