2013년 전기산업기사 2회차 78번 - 기출문제 및 해설

문제 1

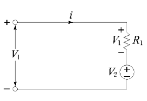
그림과 같이 선형저항 R1R_1과 이상 전압원 V2V_2와의 직렬접속된 회로에서 ViV-i 특성을 나타낸 것은?