2022년 전기산업기사 3회차 71번 - 기출문제 및 해설

문제 1

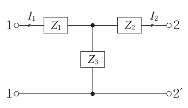
그림과 같이 T\rm T44단자 회로망의 A,B,C,DA, B, C, D 파라미터 중 DD 값은?