2019년 전기산업기사 1회차 62번 - 기출문제 및 해설
문제 1
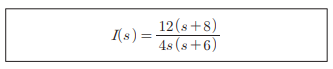
다음과 같은 전류의 초기값
i
(
0
+
)
i(0^+)
i
(
0
+
)
를 구하면?
1.
1
1
1
2.
2
2
2
3.
3
3
3
4.
4
4
4
💡 로그인하면 학습 진행률이 자동으로 저장되고, 북마크와 오답노트를 사용할 수 있습니다.
이전
다음