2025년 전기산업기사 1회차 65번 - 기출문제 및 해설

문제 1

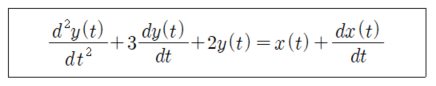
다음 미분방정식으로 표시되는 계에 대한 전달함수를 구하면? (단, x(t)x(t)는 입력, y(t)y(t)는 출력을 나타낸다.)