2023년 전기기능사 3회차 60번 - 기출문제 및 해설
문제 1
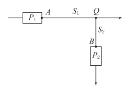
분기회로의 단락보호장치 설치점과 분기점 사이에 다른 분기회로 또는 콘센트의 접속이 없고 단락, 화재 및 인체에 대한 위험성이 최소화 되도록 시설된 경우, 분기회로의 단락 보호장치는 분기회로의 분기점으로부터 몇
[
m
]
\rm[m]
[
m
]
까지 이동하여 설치할 수 있는가?
1.
2
[
m
]
2\rm[m]
2
[
m
]
2.
3
[
m
]
3\rm[m]
3
[
m
]
3.
5
[
m
]
5\rm[m]
5
[
m
]
4.
8
[
m
]
8\rm[m]
8
[
m
]
💡 로그인하면 학습 진행률이 자동으로 저장되고, 북마크와 오답노트를 사용할 수 있습니다.
이전
다음