2023년 전기기능사 3회차 17번 - 기출문제 및 해설
문제 1
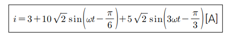
어느 회로의 전류가 다음과 같을 때, 이 회로에 대한 전류의 실효값은?
1.
11.6
[
A
]
11.6\rm[A]
11.6
[
A
]
2.
23.2
[
A
]
23.2\rm[A]
23.2
[
A
]
3.
32.2
[
A
]
32.2\rm[A]
32.2
[
A
]
4.
48.3
[
A
]
48.3\rm[A]
48.3
[
A
]
💡 로그인하면 학습 진행률이 자동으로 저장되고, 북마크와 오답노트를 사용할 수 있습니다.
이전
다음