2018년 위험물산업기사 4회차 10번 - 기출문제 및 해설
문제 1
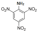
벤젠의 유도체인
T
N
T
\rm TNT
TNT
의 구조식을 옳게 나타낸 것은?
1.
2.
3.
4.
💡 로그인하면 학습 진행률이 자동으로 저장되고, 북마크와 오답노트를 사용할 수 있습니다.
이전
다음