2018년 산업안전기사 2회차 30번 - 기출문제 및 해설
문제 1
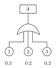
다음의 FT도에서 사상 A의 발생 확률 값은?
1.
게이트 기호가 OR이므로 0.012
2.
게이트 기호가 AND이므로 0.012
3.
게이트 기호가 OR이므로 0.552
4.
게이트 기호가 AND이므로 0.552
💡 로그인하면 학습 진행률이 자동으로 저장되고, 북마크와 오답노트를 사용할 수 있습니다.
이전
다음