2023년 산업안전기사 1회차 24번 - 기출문제 및 해설

문제 1

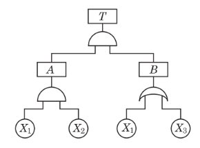
다음 중 FT도에서 최소 컷셋을 올바르게 구한 것은?