2021년 산업안전기사 2회차 28번 - 기출문제 및 해설

문제 1

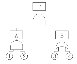
FT도에서 시스템의 신뢰도는 얼마인가?(단, 모든 부품의 발생확률은 0.1 이다.)