2016년 산업안전기사 2회차 25번 - 기출문제 및 해설

문제 1

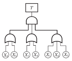
다음 그림과 같이 FTA로 분석된 시스템에서 현재 모든 기본사상에 대한 부품이 고장난 상태이다. 부품 X1X_1부터 부품 X5X_5까지 순서대로 복구한다면 어느 부품을 수리 완료하는 순간부터 시스템은 정상 가동이 되겠는가?