2018년 에너지관리기사 1회차 55번 - 기출문제 및 해설
문제 1
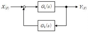
자동제어에서 전달함수의 블록선도를 그림과 같이 등가변환시킨 것으로 적합한 것은?
1.
2.
3.
4.
💡 로그인하면 학습 진행률이 자동으로 저장되고, 북마크와 오답노트를 사용할 수 있습니다.
이전
다음