2022년 토목기사 3회차 51번 - 기출문제 및 해설

문제 1

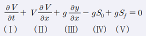
다음은 개수로 흐름의 운동량 방정식을 나타낸 것이다. 각 항들의 물리적 의미가 올바르지 못한 것은?