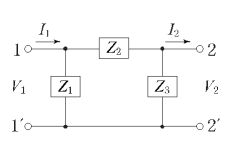
문제 1
그림과 같이
\pi
형 회로에서
Z_3
을
4
단자 정수로 표시한 것은?
1.
\dfrac A{1-B}
2.
\dfrac B{1-A}
3.
\dfrac A{B-1}
4.
\dfrac B{A-1}
💡 로그인하면 학습 진행률이 자동으로 저장되고, 북마크와 오답노트를 사용할 수 있습니다.
이전
다음