2019년 전기산업기사 1회차 65번 - 기출문제 및 해설
문제 1
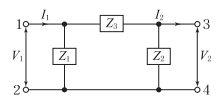
그림에서
4
4
4
단자 회로 정수
A
,
B
,
C
,
D
A,\ B,\ C,\ D
A
,
B
,
C
,
D
중 출력 단자
3
,
4
3,4
3
,
4
가 개방되었을 때의
V
1
V
2
\dfrac{V_1}
{V_2}
V
2
V
1
인
A
A
A
의 값은?
1.
1
+
Z
2
Z
1
1+
\dfrac{Z_2}
{Z_1}
1
+
Z
1
Z
2
2.
1
+
Z
3
Z
2
1+
\dfrac{Z_3}
{Z_2}
1
+
Z
2
Z
3
3.
1
+
Z
2
Z
3
1+
\dfrac{Z_2}
{Z_3}
1
+
Z
3
Z
2
4.
Z
1
+
Z
2
+
Z
3
Z
1
Z
3
\dfrac{Z_1+Z_2+Z_3}
{Z_1Z_3}
Z
1
Z
3
Z
1
+
Z
2
+
Z
3
💡 로그인하면 학습 진행률이 자동으로 저장되고, 북마크와 오답노트를 사용할 수 있습니다.
댓글
0/500
등록
이전
다음