2024년 전기산업기사 1회차 75번 - 기출문제 및 해설
문제 1
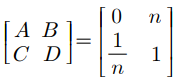
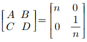
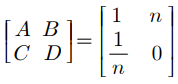
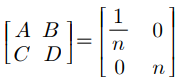
다음 결합회로의 4단자 정수 A, B, C, D 파라미터 행렬은?
1.
2.
3.
4.
💡 로그인하면 학습 진행률이 자동으로 저장되고, 북마크와 오답노트를 사용할 수 있습니다.
이전
다음