2025년 전기산업기사 1회차 65번 - 기출문제 및 해설
문제 1
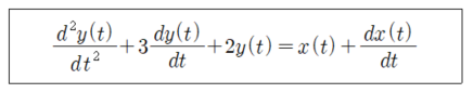
다음 미분방정식으로 표시되는 계에 대한 전달함수를 구하면? (단,
x
(
t
)
x(t)
x
(
t
)
는 입력,
y
(
t
)
y(t)
y
(
t
)
는 출력을 나타낸다.)
1.
s
+
1
s
2
+
3
s
+
2
\frac{s+1}
{s^2+3s+2}
s
2
+
3
s
+
2
s
+
1
2.
s
−
1
s
2
+
3
s
+
2
\frac{s-1}
{s^2+3s+2}
s
2
+
3
s
+
2
s
−
1
3.
s
+
1
s
2
−
3
s
+
2
\frac{s+1}
{s^2-3s+2}
s
2
−
3
s
+
2
s
+
1
4.
s
−
1
s
2
−
3
s
+
2
\frac{s-1}
{s^2-3s+2}
s
2
−
3
s
+
2
s
−
1
💡 로그인하면 학습 진행률이 자동으로 저장되고, 북마크와 오답노트를 사용할 수 있습니다.
이전
다음