2022년 산업안전기사 2회차 28번 - 기출문제 및 해설
문제 1
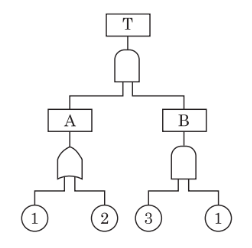
그림과 같은 FT도에 대한 최소 컷셋(minimal cut sets)으로 옳은 것은?(단, Fussell의 알고리즘을 따른다.)
1.
{1, 2}
2.
{1, 3}
3.
{2, 3}
4.
{1, 2, 3}
💡 로그인하면 학습 진행률이 자동으로 저장되고, 북마크와 오답노트를 사용할 수 있습니다.
댓글
0/500
등록
이전
다음