2017년 산업안전기사 1회차 30번 - 기출문제 및 해설
문제 1
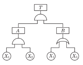
다음 중 FT도에서 최소 컷셋을 올바르게 구한 것은?
1.
(
X
1
,
X
2
)
(X_1, X_2)
(
X
1
,
X
2
)
2.
(
X
1
,
X
3
)
(X_1, X_3)
(
X
1
,
X
3
)
3.
(
X
2
,
X
3
)
(X_2, X_3)
(
X
2
,
X
3
)
4.
(
X
1
,
X
2
,
X
3
)
(X_1, X_2, X_3)
(
X
1
,
X
2
,
X
3
)
💡 로그인하면 학습 진행률이 자동으로 저장되고, 북마크와 오답노트를 사용할 수 있습니다.
댓글
0/500
등록
이전
다음