2021년 산업안전기사 2회차 28번 - 기출문제 및 해설
문제 1
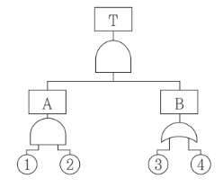
FT도에서 시스템의 신뢰도는 얼마인가?(단, 모든 부품의 발생확률은 0.1 이다.)
1.
0.0033
2.
0.0062
3.
0.9981
4.
0.9936
💡 로그인하면 학습 진행률이 자동으로 저장되고, 북마크와 오답노트를 사용할 수 있습니다.
댓글
0/500
등록
이전
다음