2016년 산업안전기사 2회차 25번 - 기출문제 및 해설
문제 1
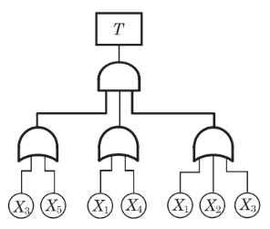
다음 그림과 같이 FTA로 분석된 시스템에서 현재 모든 기본사상에 대한 부품이 고장난 상태이다. 부품
X
1
X_1
X
1
부터 부품
X
5
X_5
X
5
까지 순서대로 복구한다면 어느 부품을 수리 완료하는 순간부터 시스템은 정상 가동이 되겠는가?
1.
X
1
X_1
X
1
2.
X
2
X_2
X
2
3.
X
3
X_3
X
3
4.
X
4
X_4
X
4
💡 로그인하면 학습 진행률이 자동으로 저장되고, 북마크와 오답노트를 사용할 수 있습니다.
이전
다음