2019년 건설안전산업기사 4회차 39번 - 기출문제 및 해설
문제 1
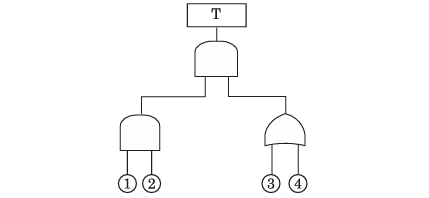
다음의 FT도에서 최소 컷 셋(minimal cut set)으로 맞는 것은?
1.
{
1
,
2
,
3
,
4
}
\left\{ 1, 2, 3, 4\right\}
{
1
,
2
,
3
,
4
}
2.
{
1
,
2
,
3
}
,
{
1
,
2
,
4
}
\left\{ 1, 2, 3\right\}, \left\{ 1, 2, 4\right\}
{
1
,
2
,
3
}
,
{
1
,
2
,
4
}
3.
{
1
,
3
,
4
}
,
{
2
,
3
,
4
}
\left\{ 1, 3, 4\right\}, \left\{ 2, 3, 4\right\}
{
1
,
3
,
4
}
,
{
2
,
3
,
4
}
4.
{
1
,
3
}
,
{
1
,
4
}
,
{
2
,
3
}
,
{
2
,
4
}
\left\{ 1, 3\right\}, \left\{ 1, 4\right\}, \left\{ 2, 3\right\}, \left\{ 2, 4\right\}
{
1
,
3
}
,
{
1
,
4
}
,
{
2
,
3
}
,
{
2
,
4
}
💡 로그인하면 학습 진행률이 자동으로 저장되고, 북마크와 오답노트를 사용할 수 있습니다.
이전
다음