2019년 건설안전산업기사 2회차 37번 - 기출문제 및 해설
문제 1
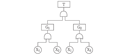
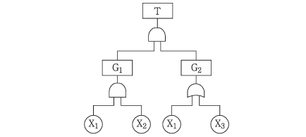
다음의 FT도에서 몇 개의 미니멀 패스셋(minimal path set)이 존재하는가?
1.
1개
2.
2개
3.
3개
4.
4개
💡 로그인하면 학습 진행률이 자동으로 저장되고, 북마크와 오답노트를 사용할 수 있습니다.
이전
다음