2015년 건설안전산업기사 1회차 31번 - 기출문제 및 해설
문제 1
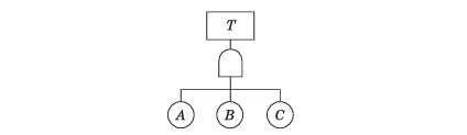
톱사상
T
T
T
를 일으키는 컷셋에 해당하는 것은?
1.
{
A
}
\left\{ A\right\}
{
A
}
2.
{
A
,
B
}
\left\{ A, B\right\}
{
A
,
B
}
3.
{
B
,
C
}
\left\{ B, C\right\}
{
B
,
C
}
4.
{
A
,
B
,
C
}
\left\{ A, B, C\right\}
{
A
,
B
,
C
}
💡 로그인하면 학습 진행률이 자동으로 저장되고, 북마크와 오답노트를 사용할 수 있습니다.
이전
다음