2023년 산업안전산업기사 1회차 24번 - 기출문제 및 해설
문제 1
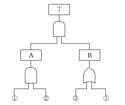
다음
F
T
A
F
T
A
\mathrm{FTA}
FTA
FTA
그림에서
1
,
2
,
3
1
,
2
,
3
\mathrm{1, 2, 3}
1
,
2
,
3
1
,
2
,
3
의 부품고장률이 각각
0.01
0.01
\mathrm{0.01}
0.01
0.01
일 때, 최소 컷셋
(
m
i
n
i
m
a
l
c
u
t
s
e
t
s
)
(
m
i
n
i
m
a
l
c
u
t
s
e
t
s
)
\mathrm{(minimal cutsets)}
(
minimalcutsets
)
(
minimalcutsets
)
과 신뢰도로 옳은 것은?
1.
{
1
,
2
}
\left\{ 1,2\right\}
{
1
,
2
}
,
R
(
t
)
=
99.99
R
(
t
)
=
99.99
\mathrm{R(t)=99.99}
R
(
t
)
=
99.99
R
(
t
)
=
99.99
%
2.
{
1
,
2
,
3
}
\left\{ 1,2,3\right\}
{
1
,
2
,
3
}
,
R
(
t
)
=
98.99
R
(
t
)
=
98.99
\mathrm{R(t)=98.99}
R
(
t
)
=
98.99
R
(
t
)
=
98.99
%
3.
{
1
,
3
}
\left\{ 1,3\right\}
{
1
,
3
}
{
1
,
2
}
\left\{ 1,2\right\}
{
1
,
2
}
,
R
(
t
)
=
96.99
R
(
t
)
=
96.99
\mathrm{R(t)=96.99}
R
(
t
)
=
96.99
R
(
t
)
=
96.99
%
4.
{
1
,
3
}
\left\{ 1,3\right\}
{
1
,
3
}
{
1
,
2
,
3
}
\left\{ 1,2,3\right\}
{
1
,
2
,
3
}
,
R
(
t
)
=
97.99
R
(
t
)
=
97.99
\mathrm{R(t)=97.99}
R
(
t
)
=
97.99
R
(
t
)
=
97.99
%
💡 로그인하면 학습 진행률이 자동으로 저장되고, 북마크와 오답노트를 사용할 수 있습니다.
이전
다음