2015년 산업안전산업기사 3회차 29번 - 기출문제 및 해설
문제 1
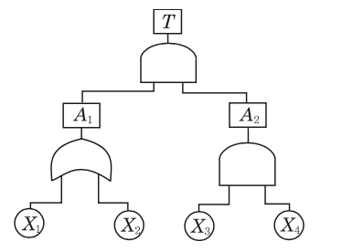
[그림]과 같은 FT도의 컷셋(cutsets)에 속하는 것은?
1.
{
X
1
,
X
2
,
X
3
X_{1}, X_{2}, X_{3}
X
1
,
X
2
,
X
3
}
2.
{
X
1
,
X
2
,
X
4
X_{1}, X_{2}, X_{4}
X
1
,
X
2
,
X
4
}
3.
{
X
1
,
X
3
,
X
4
X_{1}, X_{3}, X_{4}
X
1
,
X
3
,
X
4
}
4.
{
X
1
,
X
2
X_{1}, X_{2}
X
1
,
X
2
}, {
X
3
,
X
4
X_{3}, X_{4}
X
3
,
X
4
}
💡 로그인하면 학습 진행률이 자동으로 저장되고, 북마크와 오답노트를 사용할 수 있습니다.
이전
다음