2019년 산업안전산업기사 1회차 23번 - 기출문제 및 해설
문제 1
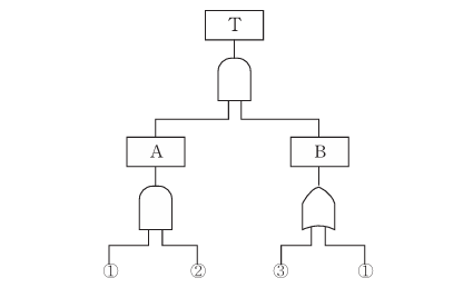
다음 FTA 그림에서 1, 2, 3의 부품고장률이 각각 0.01일 때, 최소 컷셋(minimal cutsets)과 신뢰도로 옳은 것은?
1.
{1, 2}, R(t)=99.99%
2.
{1, 2, 3}, R(t)=98.99%
3.
{1, 3} {1, 2}, R(t)=96.99%
4.
{1, 3} {1, 2, 3}, R(t)=97.99%
💡 로그인하면 학습 진행률이 자동으로 저장되고, 북마크와 오답노트를 사용할 수 있습니다.
이전
다음