2016년 수질환경기사 1회차 18번 - 기출문제 및 해설
문제 1
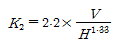
하천의 단면적이 350m2, 유량이 428400m3/hr, 평균수심 1.7m일 때 탈산소계수가 0.12/day인 지점의 자정계수는? (단,
식에서 단위는 V[m/sec], H[m]이다.)
1.
0.3
2.
1.6
3.
2.4
4.
3.1
💡 로그인하면 학습 진행률이 자동으로 저장되고, 북마크와 오답노트를 사용할 수 있습니다.
이전
다음