2023년 전기기사 1회차 79번 - 기출문제 및 해설
문제 1
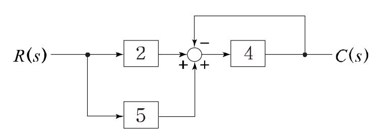
그림과 같은 블록선도에서 전달함수
C
(
s
)
R
(
s
)
\frac{C(s)}
{R(s)}
R
(
s
)
C
(
s
)
를 구하면?
1.
1
8
\frac{1}
{8}
8
1
2.
5
28
\frac{5}
{28}
28
5
3.
28
5
\frac{28}
{5}
5
28
4.
8
8
8
💡 로그인하면 학습 진행률이 자동으로 저장되고, 북마크와 오답노트를 사용할 수 있습니다.
이전
다음