2007년 전기기사 3회차 61번 - 기출문제 및 해설
문제 1
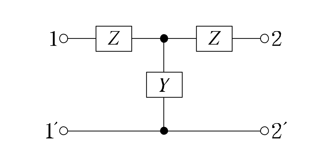
그림의 대칭 T회로의 일반 4단자 정수가 다음과 같다. A=D=1.2, B=44[Ω], C=0.01[℧]일 때, 임피던스
Z
[
Ω
]
Z[Ω]
Z
[
Ω
]
의 값은?
1.
1.2
1.2
1.2
2.
12
12
12
3.
20
20
20
4.
44
44
44
💡 로그인하면 학습 진행률이 자동으로 저장되고, 북마크와 오답노트를 사용할 수 있습니다.
이전
다음