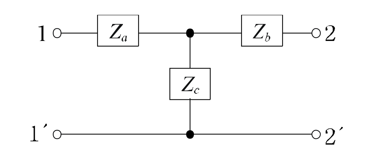
문제 1
그림과 같은 T형 4단자 회로망의 임피던스 파라미터
Z_{11}
은?
1.
Z_b + Z_c
2.
Z_a + Z_c
3.
Z_a + Z_b
4.
Z_b
💡 로그인하면 학습 진행률이 자동으로 저장되고, 북마크와 오답노트를 사용할 수 있습니다.
이전
다음