2006년 전기기사 2회차 72번 - 기출문제 및 해설
문제 1
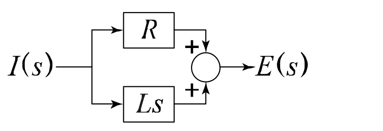
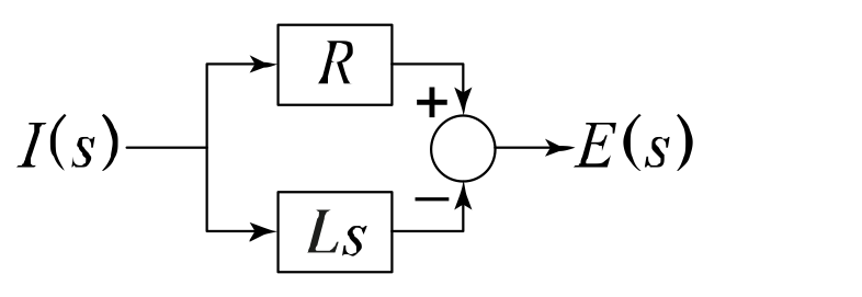
다음 회로를 블록선도로 그린 것 중 옳은 것은?
1.
2.
3.
4.
💡 로그인하면 학습 진행률이 자동으로 저장되고, 북마크와 오답노트를 사용할 수 있습니다.
이전
다음