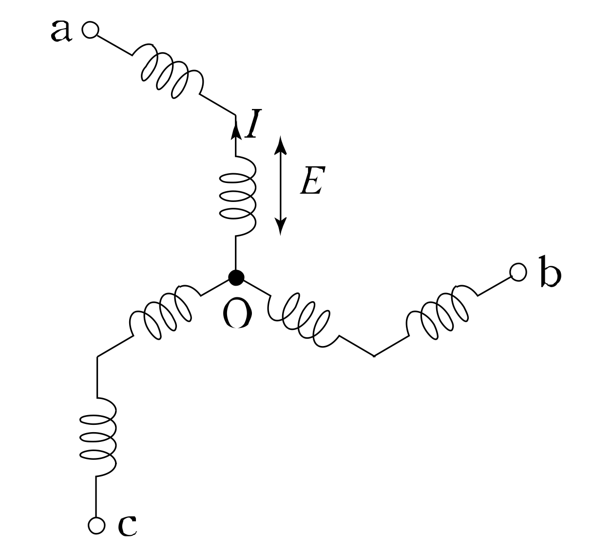
문제 1

3상 동기 발전기에서 그림과 같이 1상의 권선을 서로 똑같은 2조로 나누어서 그 1조의 권선전압을 E[V], 각 권선의 전류를 I[A]라 하고 지그재그 Y형[zigzag star]으로 결선하는 경우 선간전압, 선전류 및 피상 전력은?