2013년 전기기사 2회차 67번 - 기출문제 및 해설
문제 1
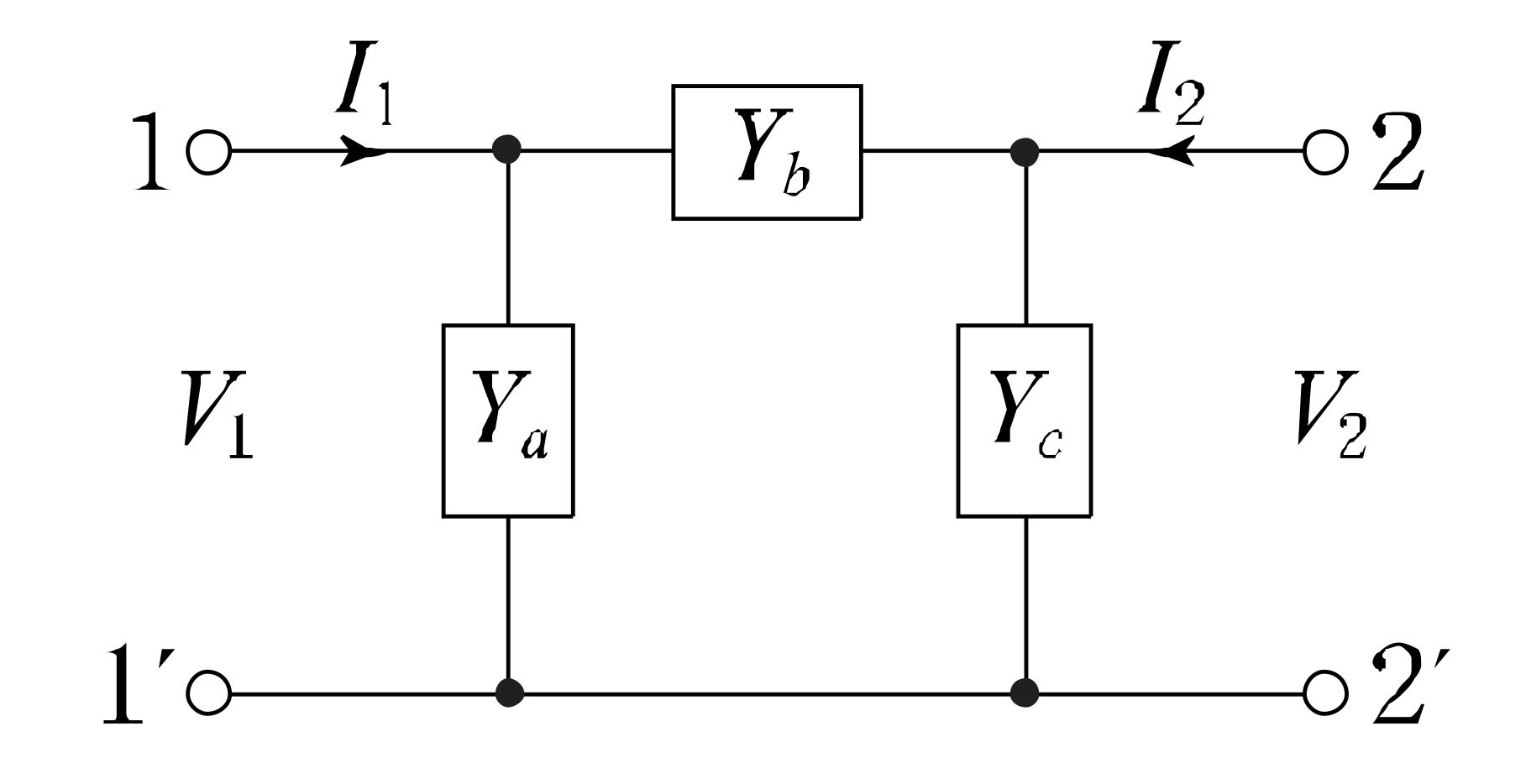
그림과 같은
π
π
π
형 회로에 있어서 어드미턴스 파라미터 중
Y
21
Y_{21}
Y
21
은 어느 것인가?
1.
Y
a
Y_a
Y
a
2.
−
Y
b
-Y_b
−
Y
b
3.
Y
a
+
Y
b
Y_a + Y_b
Y
a
+
Y
b
4.
Y
b
+
Y
c
Y_b + Y_c
Y
b
+
Y
c
💡 로그인하면 학습 진행률이 자동으로 저장되고, 북마크와 오답노트를 사용할 수 있습니다.
이전
다음