2013년 전기기사 1회차 61번 - 기출문제 및 해설
문제 1
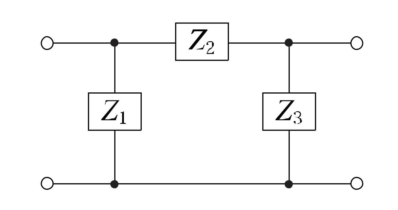
그림과 같은
π
\pi
π
형 회로에서 4단자 정수 B는?
1.
1
+
Z
2
Z
3
1+
\frac{Z_2}
{Z_3}
1
+
Z
3
Z
2
2.
Z
2
Z_2
Z
2
3.
Z
1
+
Z
2
+
Z
3
Z
1
Z
3
\frac{Z_1+Z_2+Z_3}
{Z_1Z_3}
Z
1
Z
3
Z
1
+
Z
2
+
Z
3
4.
1
+
Z
2
Z
1
1+
\frac{Z_2}
{Z_1}
1
+
Z
1
Z
2
💡 로그인하면 학습 진행률이 자동으로 저장되고, 북마크와 오답노트를 사용할 수 있습니다.
이전
다음