2012년 전기기사 1회차 71번 - 기출문제 및 해설
문제 1
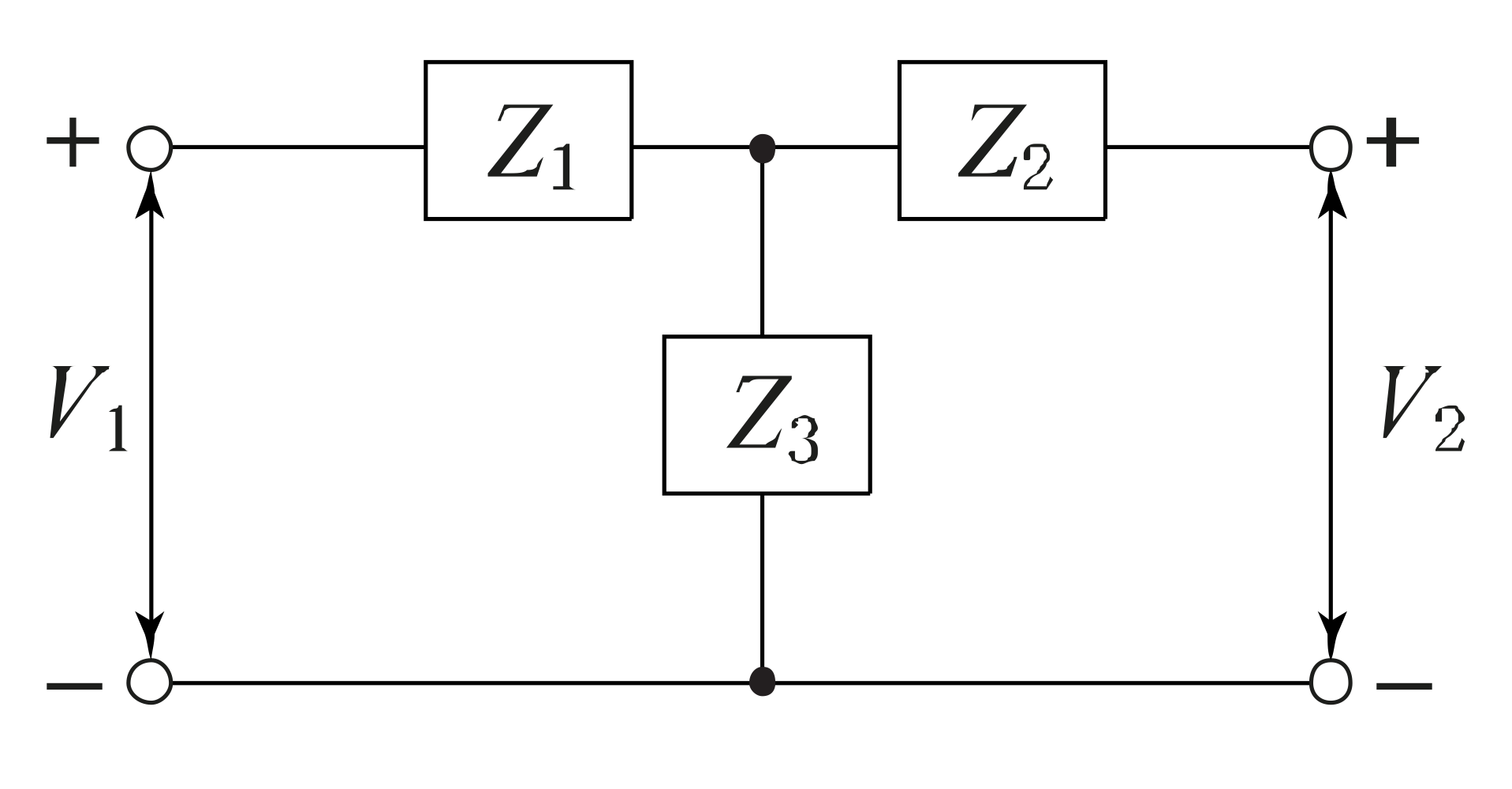
다음과 같은 T형 회로의 임피던스 파라미터
Z
22
Z_{22}
Z
22
의 값은?
1.
Z
1
Z_1
Z
1
2.
Z
3
Z_3
Z
3
3.
Z
1
+
Z
3
Z_1+Z_3
Z
1
+
Z
3
4.
Z
2
+
Z
3
Z_2+Z_3
Z
2
+
Z
3
💡 로그인하면 학습 진행률이 자동으로 저장되고, 북마크와 오답노트를 사용할 수 있습니다.
이전
다음